Accueil >Annales Concours Agent des douanes
Proposition de correction détaillée de la partie Mathématiques - Concours agent des douanes 2010 specialité surveillance et motocyclisme
Le QCM du concours d' agent des douanes 2010 specialité surveillance et motocyclisme s'est déroulé le 10 juin 2010.
Un grand merci à stephan30 qui m'a communiqué l'énoncé et sans qui rien n'aurait été possible.
1 Réponse : b) 11/6
2 Réponse : c) 454
3 Réponse : d) -4 < x < 4
4 Réponse : b) -8
5 Réponse : c) 1 tonne
6 Réponse : c)42
7 Réponse : a) 36
8 Réponse : d)
9 Réponse : c) 0,000084
10 Réponse : c) 54x2V3 Merci à christophe, surkouf et tbbm - ajout 3/10/2010
11 Réponse : d)b<d<c<e<a
12 Réponse : a) 142
13 Réponse : a) 24m
14 Réponse c) 587 400 cm3
15 Réponse c) 32π/3 - Merci à surkouf - ajout 3/10/2010
MATHEMATIQUES
Q.C.1 Calculez la somme de :

a) 1
b) 11/6
c) 4/5
d) 5/4
(8+3)/6
11/6
Réponse : b) 11/6
Q.C.2 : Quel chiffre n'est pas un multiple de 7
a) 1694
b) 693
c) 454
d) 623
On teste les solutions :
1694 /7 = 242
693 /7 = 99
454 /7 = 65.28
623 /7 = 89
Réponse : c) 454
Q.C.3:Si x²<16 alors?
a) x<4
b) 0 > x > 4
c) 0 < x < 4
d) -4 < x < 4
On teste les solution est la réponse d) est la plus appropriée.
(je suis preneur pour une solution plus académique !:o)
-3² = 9 et 9<16 (CQFD)
Réponse : d) -4 < x < 4
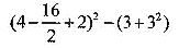
Q.C.4 : Calculez
![]()
a) 8
b) -8
c) 4
d)-4
(4-8+2)² - (3+3²)
= (-2)² - 12
= 4-12
= -8
Réponse : b) -8
Q.C.5 : Combien pèse un mètre cube d'eau ?
a) 10 kg
b) 100 kg
c) 1 tonne
d) 10 tonnes
FICHE 5 LES UNITES DE MESURES
1 m3 = 1000 dm3
1 dm3 = 1 litre = 1kg
1000 kg = 1 tonne
Réponse : c) 1 tonne
Q.C.6 : Calculez 10752/256 ;
a) 7
b)21
c)42
d)63
Réponse : c)42
Q.C.7 : Quel est le résultat de l'opération suivante : 56-12x2+4
a) 36
b) 92
c)-16
d) 264
56-12x2+4
56-24+4
36
Réponse : a) 36
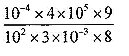
Q.C.8 : Simplifiez le quotient suivant :


a)
b)
c)
d)
Simplifions
(3x10^1)/(2x10^-1)
= 3/2 x (10²)
Réponse : d)
Q.C.9 : 0,002 x 0,042 est égal à
a) 0,0084
b) 0,00084
c) 0,000084
d) 0,0000084
Réponse : c) 0,000084
Q.C.10 : L'expression √27 x √3 x √36 x √12 a pour résultat :
a) 186
b) 3x3 √3
c) 54x2 √3
d) 12x3 √2
Merci à surkouf et tbbm - ajout 3/10/2010
√27 x √3 x √36 x √12=
√(3x9) x √3 x 6 x √(3x4)=
3√3 x √3 x 6 x 2√3=
3(√3 x √3) x 6 x 2√3=
3 x 3 x 6 x 2√3=
9 x 6 x 2√3=
54 x 2√3
Réponse : c) 54x2V3
Q.C.11 : Si a, b, c, d et e sont cinq nombres tels que : a = 3,584, b = -4,458 , c = 3,27 , d = -3,245 et e = 3,3, alors on peut dire que ...
a)d<b<e<c<a
b)b<d<a<c<e
c)b<d<e<c<a
d)b<d<c<e<a
b = -4,458
d = -3,245
c = 3,27
e = 3,3
a = 3,584
Réponse : d) b<d<c<e<a
Q.C.12 : Calculez le résultat suivant : 4x( 92-((12-7) x (5+7))) + 7x2
a) 142
b)168
c) 112
d)724
4x( 92-((12-7) x (5+7))) + 7x2
4x((92-(5x12))+14
4x(92-60) +14
4x32 + 14
142
Réponse : a) 142
Q.C.13 : Calculez la somme des côtés du triangle rectangle BDE sachant les paramètres indiqués ci-dessous :

Le rectangle ABDC a une surface de 24m2 et une largeur de 3m. Le rectangle DEGF a une surface de 12m2 et une largeur de 2m.
a) 24m
b) 27m
c) 36m
d) 10m
Aire Triangle : (base x hauteur ) / 2 ou [(ab) x (cd)] / 2
Aire : Rectangle : L x l
Pour calculer la somme des cotés de BDE du triangle alors
BD
Aire du rectangle ABCD = 24m²
ABxBD = 24m²
3xBD=24
BD=8
DE
Aire du rectangle DEGF = 12m²
DExEG=12m²
DEx2=12
DE=6
BE est l’hypothénuse du triangle rectangle BDE
BE = V(8²+6²)
BE = V(64+36)
=100
=10
La somme des cotés de BDE du triangle est :
8+6+10=24
Réponse : a) 24m
Q.C.14 : Conversion : 5874 dl = ?
a) 5 874 cm3
b) 58 740 cm3
c) 587 400 cm3
d) 5 874 000 cm3
Réponse :
5874 dl = 587,4 litres
1 litres = 1dm3
587,4 dm3
587 400 cm3
Réponse c) 587 400 cm3
Q.C.15 quel est le volume d'une boule de glace parfaitement sphérique sachant qu'elle a un diamètre de 4 cm:
a)256π/3
b)32π
c)32π/3
d)23π/3
Merci à surkouf- Christophe- ajout 3/10/2010
FICHE 7 LES VOLUMES ET LA MASSE VOLUMIQUE :
La formule pour le volume d'une sphère est la suivante
Sphère : (4/3) x Pi x R x R x R
R étant le rayon et comme nous avons le diamètre de 4 alors R=2 ainsi
V=(4πx2³)/3
V=(4πx8)/3
V=32π/3
Réponse c
