Accueil >Annales Concours Agent des douanes
Proposition de correction détaillée de la partie logique - Concours agent des douanes 2010 specialité surveillance et motocyclisme
Le QCM du concours d' agent des douanes 2010 specialité surveillance et motocyclisme s'est déroulé le 10 juin 2010.
Un grand merci à stephan30 qui m'a communiqué l'énoncé et sans qui rien n'aurait été possible.
1 Réponse : d) Jean
2 Réponse : d)65536
3 Réponse : b
4 Réponse : b) l'as de trèfle
5 Réponse : c) 131191913185
6 Réponse : a
7 Réponse : b)t
8 Réponse : D Merci à tbbm - ajout 3/10/2010
9 Réponse : a) 40 000€ Merci à christophe
10 Réponse C Ajout 3/10/2010 Merci à tbbm, loliel et christophe
Q.D.l : Trouvez l'intrus
a) Camille
b) Claude
c) Dominique
d) Jean
Un prénom épicène est un prénom qui à l’écrit désigne aussi bien un homme ou une femme
Nous sommes en présence de 3 prénoms épicène : Camille, Claude, Dominique et un prénom non épicène donc intrus : Jean
Réponse : d) Jean
Q.D.2 : Trouvez le nombre suivant dans la liste 2-4-16-256 :
a) 512
b)1024
c) 2056
d)65536
Le chiffre précédent est élevé au carré.
2² = 4
4² = 16
16² = 256
256² = 65536
Réponse : d)65536
Q.D.3 : Trouvez l'intrus :

a)
b)
c)
d)
Afin de vous éviter les torticolis et être sur de ma réponse, j’ai effectué une rotation des images.

Toutes les images sont identiques sauf la réponse B.
Réponse : b
Q.D.4 : Trouvez la carte manquante

a) le deux de carreau
b) l'as de trèfle
c) le sept de trèfle
d) le roi de trèfle
La somme des cartes, l’une en face de l’autre, pris deux par deux est égale à 10.
Comme un petit dessin vaut mieux qu’un long discours, voici les liens.

6+4 = 10
5+5 = 10
9+ ? = 10
Donc un As.
Réponse : b) l'as de trèfle
Q.D.5 : Si CARNAGE vaut 311814175, alors MASSACRE vaut ?
a) 8522501115411
b) 1843222156119
c) 131191913185
d) 44411354581452
CARNAGE vaut 3-1-18-14-17-5
C=3
A = 1
R = 18
N = 14
A = 1
G = 7
E = 5
Alors MASSACRE
M = 13
A = 1
S = 19
S = 19
A = 1
C = 3
R = 18
E = 5
Soit 13-1-19-19-1-3-18-5
Réponse : c) 131191913185
Q.D.6 : Déterminez le dernier domino :

a)
b)
c)
d)
Les dominos doivent être lu en ligne.
On constate que chaque figure = -1
Domino 1
Haut 6, 5
Bas 5, 4
Domino 2
Haut 5, 4
Bas 3, 2
Domino 3 :
Haut 4, ?
Bas 5, ?
Proposition
Haut 3
Bas 4
Réponse : a
Q.D.7 : Complétez cette suite : a, z, e , r,...
a)g
b)t
c)x
d)y
La suite correspond à la suite de lettre sur les claviers (regardez en haut sur la première ligne de lettre : azerty
Réponse : b)t
Q.D.8 : Soit la série de dessins suivante :

Réponse TBBM
Argument: à chaque étape, 1-2-3-4-5, on a 1 trait de plus sur la figure que le nombre de l'étape, remarquez 2-3-4-5-6, donc 6è étape -> 7 traits
Réponse : D
Q.D.9 : Un agent immobilier vend un terrain plus une maison posée dessus 200 000€. Sachant
que la maison vaut 120 000€ de plus que le terrain, combien vaut le terrain ?
a) 40 000€
b) 80 000€
e) 120 000€
d) 200 000€
2 propositions qui aboutissent à une même solution
Propositions de solution 1 : empirique
On teste les solutions :
Si le Terrain vaut 40 000 alors la maison vaut 160 000 (120 000 +40 000).
Alors Maison et Terrain valent 160 000 + 40 000 = 200 000. CQFD
Propositions de solution 2 : efficace - Merci à christophe ajout 3/10/2010
Partant donc du principe M=valeur de la maison et T=valeur du terrain
Nous avons d'après l'énoncé M=T+120 000Au départ nous avons:
T+M=200 000
remplacons M par la valeur de départ:
T+T+120 000=200 000
2T+120 000=200 000
2T=200 000-120 000
2T=80 000
T=40 000
Réponse : a) 40 000€
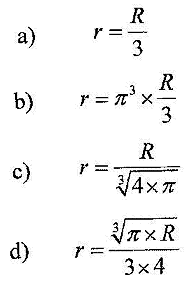
Q.D.10 : Soit un cube de longueur de coté "R". Quel devrait être le rayon "r" par rapport à "R" d'une sphère enfermée dans le cube pour que le volume de la sphère soit un tiers de celui du cube ?

Ajout 3/10/2010 Merci à tbbm et christophe - il est question de racine cubique...et là ce n'était pas mon fort..
démonstration de tbbm :
Volume d'un cube: r^3
volume d'une sphère: (4*π*r^3)/3
on veut donc ici:
(4*π*r^3)/3 = (R^3)/3
=> 4*π*r^3 = R^3
=> rac.cub(4*π*r^3) = rac.cub(R^3)
=> rac.cub(4*π) * rac.cub(r^3) = rac.cub(R^3)
=> rac.cub(4*π) * r = R
=> r = R / rac.cub(4*π)
et de christophe :
Appellons Vs le volume de la sphere et Vc le volume du cube
d'apres l'énoncé Vs est égal au tiers du volume du cube donc:
Vc/3=Vs
Vc=R³ et Vs=(4πr³)/3 donc
R³ /3=(4πr³)/3
R³=4πr³ simplifions afin de n'avoir que r d'un cote:
r³=R³ /(4π)Passons tout à la racine cubique pour rappel:
En mathématiques, la racine cubique d'un nombre réel y est l'unique nombre x qui, élevé à la puissance 3 (c'est-à-dire multiplié par lui-même trois fois) vaut y ; en d'autres termes, y= x^3.
La racine cubique de y est notée
Par exemple, la racine cubique de 8 est 2, car 2 × 2 × 2 = 8. La racine cubique tient son nom du cube : la racine cubique est la longueur de l'arête d'un cube dont est donné levolume.On a un volume de 8 et une arrête de 2 ; on écrit :
(source wikipedia)
ainsi
³√(r³)=³√(R³ /(4π))
r=R/³√(4π)
Réponse c
