Accueil >Annales Concours Controleur des Impots
Proposition de correction de la partie maths du QCM de controleur des impots 2009
si vous n'êtes pas d'accord, n'hésitez pas à vous exprimer sur notre forum
Q1
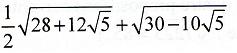
On cherche une expression simplifiée du nombre

Parmi les quatre propositions suivantes, laquelle représente cette expression simplifiée :

T. Toutes les solutions proposées sont bonnes
A. Aucune des solutions proposées n’est bonne
les candidats sont restés dubitatifs sur cette question, (cf forum)
Pour avoir le fin de mot de l'histoire, j'ai sorti ma calculette : l'énoncé donne 6,47.
1 : 8,85
2 : 6,50
3 : -3,85
4 : 0,97
Breizh s'est penché sur cet énoncé :
J’ai compris ce que l’énoncé cherchait à nous faire faire…travailler nos identités remarquables.
Là où je suis dubitatif comme les autres candidats c’est sur la teneur des réponses qui peuvent très largement être simplifiées. Mais ces réponses sont faites pour nous mettre sur la voie.
Je commence par le 2e terme : √(30-10√5)
Pour faire disparaitre la racine carrée, il faut que 30-10√5 soit un carré. Et là, compte tenu du signe – on pense tout de suite à (a-b)²= a²-2ab+b².
L’expression √5 nous indique que 2ab=10√5 et donc a²+b²=30
Pour faire simple (je n’ai pas envie de taper sous Word le système d’équation à résoudre mais ça se fait), on voit que si a=5 et b=√5 , ça marche donc :
√(30-10√5) = √((5-√5)²) = (5-√5)
A partir de là, la réponse 2 devient tentante. Le seul problème, c’est que ça marche moins bien pour le premier terme où les calculs donnent des nombres plus compliqués. Si on pense toutefois que la réponse 2 peut être juste, on le fait « à l’envers » à savoir, on vérifie si (3+2√5)= √(28+12√5)
Pour cela on met tout au carré et on a (9+2*3*2√5 +4*5) = 29+12√5
Et donc ça ne marche pas car on a 28 au lieu de 29 mais ça ne tenait à pas grand-chose
La réponse est donc « aucune réponse bonne ».
Donc comme eux, je penche vers la solution suivante : A. Aucune des solutions proposées n’est bonne
Réponse Aucune
Q2
L'équation (4x2 - 12x +9) - (4x - 6) (3x + 1) = 0 a pour solution(s) :
On développe (4x²-12x+9) - (4x-6)(3x+1) = 0
(4x²-12x+9) - (12x²+4x-18x-6) = 0
4x²-12x+9-12x²-4x+18x+6 = 0
-8x²+2x+15 = 0
Delta = (2)² -4(-8)(15) = 4+480 = 484 = 22²
x = (-(2)+22)/(2*(-8)) = -20/16 = -5/4
x = (-2-22)/(2*(-8)) = -24/-16 =3/2
Réponse 4. 3/2 et - 5/4.
Q3
Les pays frontaliers de l'Afghanistan sont le Pakistan, la Chine, le Tadjikistan, l'Ouzbékistan, le Turkménistan et l'Iran.
Sa plus petite frontière est avec la Chine = 80 km), sa plus grande avec le Pakistan = 2450 km).
Sa frontière avec le Tadjikistan dépasse celle avec l'Iran de 270 km environ et celle avec le Turkménistan de 460 km environ.
La moitié de la longueur de sa frontière avec le Pakistan surpasse encore la longueur de sa frontière avec le Tadjikistan de 15 km.
Au total, l'Afghanistan a environ 5 570 km de frontières.
Quelle est la longueur de la frontière entre l'Afghanistan et l'Ouzbékistan ?
1. 100 km ;
2. 120 km ;
3. 140 km ;
4. 160 km.
T. Toutes les solutions proposées sont bonnes
A. Aucune des solutions proposées n’est bonne
Calcul de la frontière des pays frontaliers
Pakistan : 2450
Chine : 80
Tadjikistan : [(pakistan/2)-15] (2450/2)-15=1225-15=1210
Ouzbekistan ? ? ?
Turkménistan : Tadjikistan –460 = 1210-460=750
Iran : Tadjikistan –270 = 1210-270 = 940
Pakistan + Chine + Tadjikistan + Ouzbekistan + Turkménistan + Iran =5570
2450+80+1210+ Ouzbekistan+750+940=5570
Ouzbekistan+5430=5570
Ouzbekistan = 5570-5430=140
Réponse3. 140 km ;
Q4
On doit partager une somme de 7 200 € entre un certain nombre de sociétaires. S'il y avait 5 sociétaires de plus, la part de chacun se verrait diminuée de 20 €.
On désire connaître le nombre de sociétaires (noté « S ») au partage ainsi que le montant de la part (noté « P ») de chacun.
Parmi les quatre propositions suivantes, indiquez la réponse correcte :
(On donne : ,V7225 = 85 .) V= racine de 7225
1. S = 40 et P = – 45 ;
2. S = 40 et P = 180 ;
3. S= 180 et P =– 45 ;
4. S = 180 et P = 40.
T. Toutes les solutions proposées sont bonnes
A. Aucune des solutions proposées n’est bonne
Nous allons verifier les propositions :
S = nombre de sociétaires
P = le montant de la part
proposition 1 : S = 40
alors P = 7200/40=180
on augmente la part de chacun de 5 : 7200/45 = 160
Donc CQFD !
Réponse 2. S = 40 et P = 180 ; (merci à alexia31)
Q5
Mlle Dutend place au même moment la moitié de son capital de 20 000 € à 4 % par an et l'autre moitié à 10 % par an.
Quel intérêt recevra-t-elle au bout d'une année ?
La moitié de son capital est 10000 euros.
10 000*4/100 = 400
10 000*10/100=1000
soir un total de 1000+400 = 1400
Réponse 3. 1 400 euros ;
(Merci à diabange22)
Q6
Quel est le couple (x; y) solution du système suivant ?
3x +4y = 225
4x-3y=75
3x +4y = 225 (*3) = 9x + 12y = 675
4x-3y=75 (*4) = 16x-12y = 300
25x = 975
x = 39
Et là je m'arrète, car Aucune proposition ne semble correspondre.
Réponse A. Aucune des solutions proposées n’est bonne
Q7
Quelle est la solution du système d'inéquations suivant ?
5x-3 <= 7(x-1)-2
14(1+ x) < 2x-3(0,5+x)
Réponse :

T. Toutes les solutions proposées sont bonnes
A. Aucune des solutions proposées n’est bonne
Réponse liliz
Q7 / rep AUCUNE (je trouve x>3 donc j'élimine la reponse 1 et 3, or les reponses 2 et 4 sont absurdes car on ne peut pas etre inferieure a 1,1 ou -1,1 et en meme temps superieure à 3, car un systeme signifie que X solution verifie simultanément les deux inequations, ici c'est impossible)
Q8
Si en 12 secondes, un robinet à débit constant remplit un verre cylindrique de 2 cm de rayon et 6 cm de haut, combien de temps environ faudra-t-il pour remplir une pyramide creuse de hauteur 1m et de base carrée de côté 6 dm ?
(On prendra Pi = 3.)
(Modification au 19/01/2010 Merci à cop95)
FICHE 7 LES VOLUMES ET LA MASSE VOLUMIQUE
Verre = volume cylindre = Cylindre : Pi x R x R x H
Pyramide = 1/3base x hauteur
1m = 100 cm
6 dm = 60 cm
Calcul volume verre :
6*2*2*3 = 72 cm3
alors 1 seconde = 6cm3 (72/12)
Calcul volume pyramide :
1/3*(60*60)*100 = 120 000 cm3
donc calcul du temps de remplissage de la pyramide
120000/6= 20 000 secondes
20 000 secondes = 333 minutes et 20 secondes et 2 secondes
333 minutes = 5 heures et 33 minutes et 2 secondes.
Total pour remplir la pyramide = 5 heures et 33 minutes et 20 secondes
Réponse A. Aucune des solutions proposées n’est bonne
Q9
L'échelle d'un plan est 1/24. On réalise un nouveau plan en ajoutant, à chaque dimension de l'ancien plan, le tiers de sa valeur.
Quelle est l'échelle du nouveau plan ?
Merci à liliz
je pose k = echelle, L = longueur réelle, l = longueur sur le dessin, l' = longueur sur le 2eme dessin
Echelle k=1/24, donc L = l x 24 ,
or l' = l + 1/3 l donc l'=4/3l
alors l = 3/4 l'
d'où nouvelle échelle L 3/4l' x 24 = 18
Réponse 2. 1/18
Q10
Ruben possède un troupeau de brebis et un troupeau de vaches. Si en plus de ses vaches il avait le double de brebis, il aurait 300 têtes de bétail. Si une famine tue la moitié de ses brebis, il aura 120 têtes de bétail.
Combien a-t-il de vaches et de brebis ?
1. 80 vaches et 100 brebis ;
2. 60 vaches et 100 brebis ;
3. 60 vaches et 120 brebis ;
4. 80 vaches et 120 brebis.
T. Toutes les solutions proposées sont bonnes
A. Aucune des solutions proposées n’est bonne
Vaches = V ; Brebis = B
V + 2B = 300
0.5B + V = 120.
On teste les solutions proposées :
solution 1 : 80 + 2*100 = 280 FAUX
solution 2 : 60 + 2*100 = 260 FAUX
solution 3 : 60 + 2*120 = 300 VRAI
solution 4 : 80 + 2*120 = 320 FAUX
pas besoin de poursuivre le test
Réponse 3. 60 vaches et 120 brebis ;
Q11 On prend souvent comme approximation du nombre irrationnel PI , le nombre rationnel 22/7
Sachant que PI est plus petit que 3,1416, la différence entrePI et son approximation par 22/7 est supérieure à :
1. 0.001
2. 0.0012
3. 0.00124
4. 0.00125
T. Toutes les solutions proposées sont bonnes
A. Aucune des solutions proposées n’est bonne
(modification le 2/12/2009 merci à Sbdidi, Hateya et liliz)
22/7 = 3,142857143
on calcule 3,142857143-3,1416=0,0012571429
la différence entrePI et son approximation par 22/7 est supérieure à : toutes les propositions.
Réponse T. Toutes les solutions proposées sont bonnes
Q12
Quel est le cube de 30 ?
Q12: 30*30*30=27 000
Réponse 2. 27 000 ;
(Merci à diabange22)
Q13
Quel est le résultat de la factorisation de (5x - 1)² + (1 - 5x) (2x + 3) ?
1. (5x - 1) (3x + 2) ;
2. (5x - 1) (7x + 2) ;
3. (5x - 1) (3x - 4) ;
4. (5x - 1) (7x - 2)
T. Toutes les solutions proposées sont bonnes
A. Aucune des solutions proposées n’est bonne
FICHE 12 LES CALCULS LITTERAUX
Rép 3
Récapitulation des réponses à la partie mathématique du QCM 2009 (16/11/2009 de controleur des impots)
1 Aucune
2 Réponse 4. 3/2 et - 5/4. Merci à diabange22
3 Réponse3. 140 km ;
4 Réponse 2. S = 40 et P = 180 ; Merci à alexia 31
5 Réponse 3. 1 400 euros ; Merci à diabange22
6 Réponse A. Aucune des solutions proposées n’est bonne
7 Réponse A. Aucune des solutions proposées n’est bonne (Merci à liliz)
8 Réponse A. Aucune des solutions proposées n’est bonne - (Modification au 19/01/2010 Merci à cop95)
9 Réponse 2. modification ( Merci à liliz)
10 Réponse 3. 60 vaches et 120 brebis ;
11 RéponseT. Toutes les solutions proposées sont bonnes
12 Réponse 2. 27 000 ; Merci à diabange22
13 (Merci à liliz)
