Devenez-fonctionnaire.fr
Les annales des Qcm Maths Gratuits

Accueil > Annales QCM Maths

QCM Maths : 14 questions concours cat B, Annales controleur du tresor 2007

1. La vitesse de la lumière est estimée a 299 792,5 km/s (kilometre par seconde). Comment peut-on également exprimer cette vitesse ?

    2,997 925. 10e7 m/s

    2,997 925 .10e6 km/s

    2,997 925 . 10e8 m/s

    2,997 925 . 10e4 km/s

2. Donner le discriminant de l'équation suivante : 5x² - 2x + 2 = 0

    44

    - 32

    - 40

    - 36

3. Un élevé a obtenu aux quatre épreuves d'un examen les notes suivantes :

+FOTO qcm maths controleur 2007 Q3

L'élève ne se souvient plus du coefficient pour les mathématiques. Quel est le coefficient de cette épreuve, sachant que sa moyenne s'élève à 13,1 ?

    1

    2

    4.5

    5

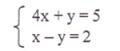
4. Trouver la valeur de x et de y dans le système d'équations suivant :

qcm maths controleur 2007 q4

    [ 2 ; (4/5)]

    [(5/2) ; 2]

    [(7/5) ; -(3/5)]

    [ -1 ; (5/2)]

5. L’expression √(1/72) x √32 est égale à :

    2/3

    (3/2)

    3

    (3)/2

6. L' équation, suivante, a pour résultat :

qcm maths controleur 2007 q6

    X= -3/2

    X= 3

    X= 5/2

    X= 13/2

7. Une association sportive regroupe quatre sections : ping-pong, natation, rugby et judo.

La section “ ping-pong ” compte 150 adhérents, soit les 3/8 des adhérents de la section “ natation ”.

Le rugby totalise 2/5 du total des adhérents et le judo rassemble les 200 adhérents restants.

Quel est le nombre total d'adhérents de cette association sportive ?

    1350

    1200

    1250

    1300

8. Un camion vide pèse 1,8 tonne.

Combien pourra-t-il transporter de barres de fer (1dm3 de fer pèse 7,8 kg) de 20 m de long et de section carrée de 10 cm de carré,

sachant que ce véhicule doit emprunter un pont ne pouvant supporter plus de 20 tonnes ?

    9 barres

    11 barres

    12 barres

    13 barres

9. Quel est le résultat factorise de l'expression suivante ? 3X² – 3 + (X – 1) (2X + 5)

    3X² +2X + 1

    5X² – X + 1

    (X – 1) (5X + 8)

    (3X – 5) (X + 2)

10. Un échiquier comprend 64 cases.

On place un grain de riz sur la première case puis 2 sur la deuxième, 4 sur la troisième, etc..., en multipliant par 2 le nombre de grains a chaque nouvelle case.

Sachant qu'il ne peut y avoir plus de 127 grains de riz sur l'échiquier, combien de cases ne comprendront aucun grain de riz ?

    56

    57

    58

    59

11. Résoudre l'inéquation : 8x + 1 < 6x - 15

    x < - 8

    x > - 8

    x < 8

    x > 8

12. L'expression 50-18+ 28 est égale a :

    32

    42

    52

    62

13. A la suite du naufrage d'un navire, une marée noire commence à se répandre.

Le1er jour, sa superficie est de 1000 m2. La superficie de cette marée noire double tous les jours.

Quelle sera la superficie souillée le 7eme jour ?

    12,8 hectares

    6,4 hectares

    6 400 m2

    12 800 m2

14. Le prix d'une matière première de 100 en 2003 a fluctué de 2004 a 2007 en augmentant de 50% les premières et troisième années, et en diminuant de 50% les deux autres années.

Quel est son prix en 2007 ?

    56,25

    100

    150

    80

Correction détaillée : Annales concours > Concours Controleur du tresor > Correction détaillée QCM Maths 2007